コラム vol.221-2土地活用の経済學(2)~不動産市況を見る目を養う講座~第2回「住宅家賃はどのように決定されるのか?: 第一象限」
公開日:2017/11/30
賃貸住宅の経営を考えるときに、投資した賃貸住宅の家賃がどのように推移していくのかということは、所有者にとって最大の関心事となります。
しばしば新聞などで、賃貸住宅の家賃が上がったとか下がったとか言われる家賃の情報は、ポータルサイトなどに掲載される家賃や不動産會社の店舗に張られた広告などの家賃が上がったとか下がったとかと言われることがほとんどです。
しかし、住宅の家賃に関する情報は、大きく2つの種類に分けられます。
まずは、入居者が入れ替わり契約といったイベントが発生した際に成立する市場家賃です。これが、ポータルサイトや不動産屋さんで見ることができる家賃の相場です。このような家賃は、通常の財やサービスと同様に需要と供給によって決定されることとなります。
さらに、この契約には、入居者が入れ替わる新規契約に基づき決定される家賃と、同じ入居者が継続的に住み続ける中で、契約期間が満了した時點で新しい契約のもとで決定される家賃に大別されます。一般的に、前者は「新規家賃」、後者は「継続家賃」と呼ばれています。
前者は、基本的には自由な取引市場の中で決定される家賃である一方、後者は借地借家法に代表されるような制度的な制限のもとで決定される家賃となります。ここでさらに留意しないといけないのが、継続期間中に支払い続けられている家賃です。これは、入居時の新規契約またはその後の継続契約に基づき決定された家賃で、契約というイベントがない限り同額の家賃が支払われていきます。つまり、賃貸住宅経営においては、自由な取引によって決定される「新規家賃」の変動のリスクには、実は「契約」というものに守られて、直接にさらされないのです。逆に、市場が好転しても、すぐにリターンを得ることはできずに、ゆっくりと得ることとなります。これを経済學では、「価格の硬直性」という言葉で説明されます。
それでは、少し古い研究ですが、筆者が大和リビング(株)のデータを用いて行った研究の一部を紹介しましょう。
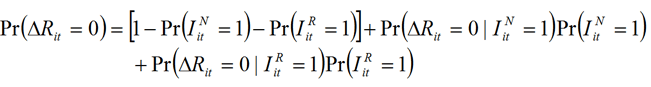
私たちの研究では、1年間に家賃が変更されない確率(つまり家賃が変更されない住戸が全體の何割を占めるか)を計算しました。これが賃貸住宅経営でいう安定性を意味するものです。
ここで、そのような家賃が変化しないという確率を、(Pr(△Rit=0))という形で表記します。
前述のように、家賃が変更されるのは賃貸契約が書き換えられるときでいから、それは、(1) 入居者の入れ替えがあったとき、(2) 入居者の入れ替えはないが家賃契約の更新があったときのいずれかです。
は、i住戸において、t期に新規のテナントが賃貸住宅オーナーとの間で新規の契約が発生した時には1を、それ以外には0を示す変數とします。
また、
はi住戸のt期において、居住している契約者が賃貸住宅オーナーとの間で継続契約が行った時には1を、それ以外は0を示しています。また、Ritはi住戸のt期の家賃水準を示しており、△Rit=Rit-Rit-1は契約時における家賃変化分を示します。そうすると、家賃が変化しない確率(Pr(△Rit=0))を、次のように表現することができます。

この式の右辺の項目を、大和リビング(株)のデータで計算した図表1と併せて、ひとつずつ見ていきましょう。
サンプル住戸15,037のうち年間でみると2,678で新規契約が発生しています。しかし新規契約が結ばれたすべての住戸で家賃の変更が行われるわけではありません。この表の左側では、各月について新規契約が発生した住戸のうちで家賃が下落したもの、據え置かれたもの、上昇したものの構成比を示しています。例えば、2008年4月には194の住戸で入居者の入れ替えがあり、それに伴って新規契約が発生したのは、そのうち18.04%で家賃が下落、71.65%で家賃不変、10.31%で家賃が上昇しています。2008年度中でみると(表の左の表の最下段を參照)、2,678の新規契約のうち74.86%で家賃は據え置かれています。また、表の右の表は継続家賃について同様の數字を示しています。継続契約においては、2008年度中に5,069の住戸で契約更新が行われましたが、そのうち97.3%で家賃が據え置かれています。
図表1.名目家賃の硬直性
[新規契約]
| Date | dR<0 | dR=0 | dR>0 | 契約件數 |
|---|---|---|---|---|
| 2008/04 | 18.04% | 71.65% | 10.31% | 194 |
| 2008/05 | 18.86% | 71.05% | 10.09% | 228 |
| 2008/06 | 14.03% | 80.09% | 5.88% | 221 |
| 2008/07 | 15.00% | 74.00% | 11.00% | 200 |
| 2008/08 | 16.43% | 75.59% | 7.98% | 213 |
| 2008/09 | 13.92% | 75.53% | 10.55% | 237 |
| 2008/10 | 16.06% | 77.06% | 6.88% | 218 |
| 2009/11 | 12.09% | 77.21% | 10.70% | 215 |
| 2008/12 | 11.63% | 76.74% | 11.63% | 215 |
| 2009/01 | 12.50% | 76.43% | 11.07% | 280 |
| 2009/02 | 12.50% | 80.00% | 7.50% | 120 |
| 2009/03 | 22.85% | 68.25% | 8.90% | 337 |
| Total | 15.68% | 74.87% | 9.45% | 2,678 |
[継続契約]
| Date | dR<0 | dR=0 | dR>0 | 契約件數 |
|---|---|---|---|---|
| 2008/04 | 3.25% | 96.75% | 0.00% | 584 |
| 2008/05 | 4.89% | 95.11% | 0.00% | 327 |
| 2008/06 | 3.27% | 96.73% | 0.00% | 275 |
| 2008/07 | 1.87% | 98.13% | 0.00% | 374 |
| 2008/08 | 3.41% | 96.59% | 0.00% | 264 |
| 2008/09 | 1.68% | 98.08% | 0.24% | 417 |
| 2008/10 | 1.83% | 98.17% | 0.00% | 547 |
| 2009/11 | 1.87% | 98.13% | 0.00% | 374 |
| 2008/12 | 4.04% | 95.96% | 0.00% | 272 |
| 2009/01 | 2.87% | 97.13% | 0.00% | 418 |
| 2009/02 | 2.24% | 97.76% | 0.00% | 401 |
| 2009/03 | 2.45% | 97.55% | 0.00% | 816 |
| Total | 2.68% | 97.30% | 0.02% | 5,069 |
出典) 清水千弘?渡辺努(2010),「家賃の名目硬直性」, フィナンシャル?レビュー106號(財務省)
これらの計數を前提にすると、前述の式の右辺の第1項を計算すると
は0.485であり、48.5%の住戸において新規契約と契約更新のどちらも起きていないことがわかります。さらに、新規の契約改定が発生したとしても、同額で改定される部屋が0.758であることから、式の右辺第2項の
は0.133となります。同様に、継続の改定が発生したとしても97.3%の部屋で家賃が変化していないため、式の右辺第3項である
は0.328となります。以上から、家賃の粘著性を示す右辺3つの項の和は0.946であり、1年間で家賃が変化しない住戸の割合(Pr(△Rit=0))は94.6%となるのです。
このデータは、リーマンショック後の世界経済に大きな打撃を與えた2008年3月から2009年の4月までのデータを分析したものです。このような大きなショックが起こった時期においても、賃貸住宅経営は極めて安定していたことを理解していただくことができるでしょう。
これを証明するもうひとつの材料として、図表2をご覧ください。
図表2.新規家賃と支払家賃の推移

出典) 清水千弘?渡辺努(2010),「家賃の名目硬直性」, フィナンシャル?レビュー106號(財務省)
これは、バブル期を含む1986年から2010年までの長期の新規家賃と支払家賃の推移を見たものです。赤色の線が新規家賃ですが、バブル期に大きく上昇し、その後に大きく下落し下がり続けてきたことがわかります。しかし、賃貸住宅経営の中で重要な指標となるテナントの支払家賃を示す青色の線は、バブル期にゆっくりとしか上昇しませんでしたが、株などのように暴落することはなく、ゆっくりと推移してきていることがわかります。
賃貸住宅経営を考えていくにあたり、家賃がどのように決まっているのかといったミクロな構造、つまり家賃の粘著性を、しっかりと理解しておく必要があります。














